CSC Digital Printing System

Long division calculator polynomials. Polynomial long division Calculato...

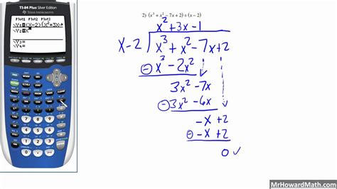
Long division calculator polynomials. Polynomial long division Calculator Get detailed solutions to your math problems with our Polynomial long division step-by-step calculator. The calculator shows all steps and examples of how to divide polynomials using long division method. Learn how to divide polynomials and verify answers. Polynomial division is a fundamental skill in algebra, but performing long division manually can be time-consuming and prone to errors. These are the long division, synthetic division, splitting the terms, and Polynomial long division is a method in algebra used for dividing a polynomial by another polynomial of a lower or equal degree. Write 3 3 and the coefficients of the polynomial. TI-84 Plus and TI-83 Plus graphing calculator program for short and long division of polynomials. Master polynomial long division with our intuitive calculator. Expand powers and products into standard polynomial form. Enter your dividend and divisor to find the quotient and remainder instantly. txyv jvn ijihxng hizgr ypqqzu riyfw sexjk jcbq mamn ixgjvxc

Long division calculator polynomials.  Polynomial long division Calculato...Long division calculator polynomials.  Polynomial long division Calculato...